RN 565 - Reajuste de Contratos Coletivos com Menos de 30 vidas
RN 565 - Reajuste de Contratos Coletivos com Menos de 30 vidas
06 de fevereiro de 2026
Divulgação do Reajuste Único Apurado para o Agrupamento dos Contratos Coletivos com Menos de 30 Beneficiários – RN nº 565 de 16/12/2022
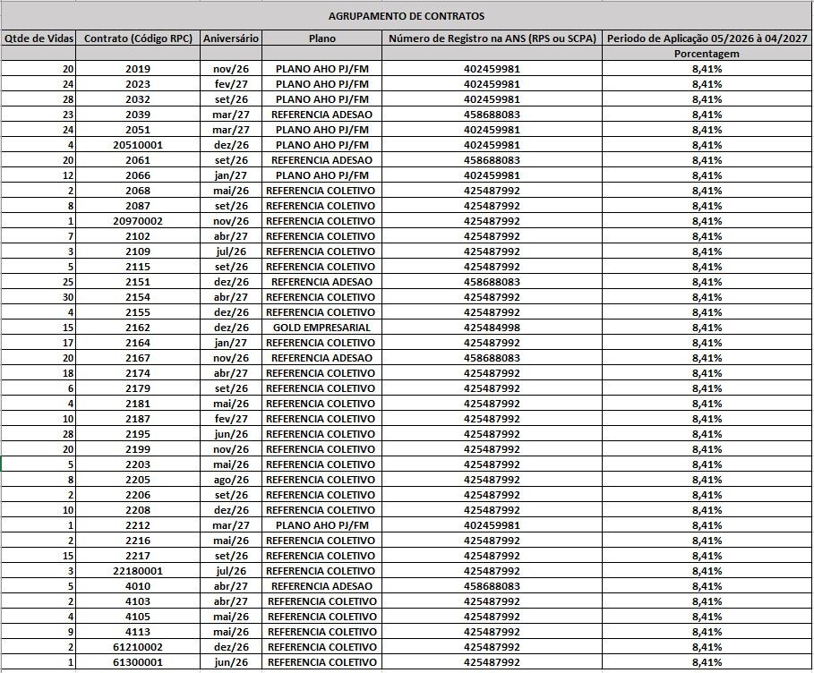
A Operadora Unimed de Andradina Cooperativa de Trabalho Médico, Código Registro ANS nº 30.384-4, em conformidade com Resolução Normativa nº 565, de 16 de Dezembro de 2022, da ANS – Agência Nacional de Saúde Suplementar, divulga o percentual calculado com base no agrupamento de contratos, o período de aplicação e os contratos que receberão o reajuste no mês de aniversário de contrato, conforme segue.

O percentual divulgado, quando aplicado, será informado por meio do boleto e da fatura de cobrança, conforme estabelece o artigo 16 da Resolução Normativa nº 171, de 29 de abril de 2008, da ANS. Informamos também que, o reajuste, quando aplicado, será enviado à ANS por meio do Sistema RPC (Reajuste de Planos Coletivos).
Divulgação RN 565 - 2024

Divulgação RN565 (anterior RN309), cuja competência será para 05/2026 a 04/2027, com o percentual de 8,41%.

A Operadora Unimed de Andradina Cooperativa de Trabalho Médico, Código Registro ANS nº 30.384-4, em conformidade com Resolução Normativa nº 565, de 16 de Dezembro de 2022, da ANS – Agência Nacional de Saúde Suplementar, divulga o percentual calculado com base no agrupamento de contratos, o período de aplicação e os contratos que receberão o reajuste no mês de aniversário de contrato, conforme segue.

O percentual divulgado, quando aplicado, será informado por meio do boleto e da fatura de cobrança, conforme estabelece o artigo 16 da Resolução Normativa nº 171, de 29 de abril de 2008, da ANS. Informamos também que, o reajuste, quando aplicado, será enviado à ANS por meio do Sistema RPC (Reajuste de Planos Coletivos).
Divulgação RN 565 - 2024

Divulgação RN565 (anterior RN309), cuja competência será para 05/2026 a 04/2027, com o percentual de 8,41%.
